Транспортный коллапс в Черновцах
- Master
- Легенда Форуму
- Повідомлень: 37096
- З нами з: 25 листопада 2012, 13:03
- Звідки: Город Герой Черновцы
- Дякував (ла): 2817 разів
- Подякували: 2877 разів
Re: Транспортный коллапс в Черновцах
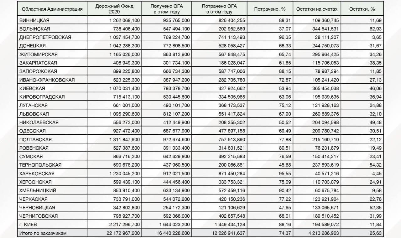
Дані про витрати з Дорожного Фонду по областям за 9 місяців.
Я так розумію, що у Волинській, Київській, Миколаївській, Тернопільській та Чернівецькій областях з дорогами все супер, тому вони використали лише половину грошей?
Я так розумію, що у Волинській, Київській, Миколаївській, Тернопільській та Чернівецькій областях з дорогами все супер, тому вони використали лише половину грошей?
Все, что вы видите во мне - это не мое, это ваше.
Мое - это то, что я вижу в вас. ©
Мое - это то, что я вижу в вас. ©
- Sl@vcheg
- Адміністратор
- Повідомлень: 14068
- З нами з: 25 листопада 2012, 11:39
- Дякував (ла): 970 разів
- Подякували: 1653 рази
Re: Транспортный коллапс в Черновцах
Эти деньги в основном на ремонт дорог за городом, в самом городе кроме как саботаж такое положение вещей назвать нельзяMaster писав: ↑13 жовтня 2020, 15:53Дані про витрати з Дорожного Фонду по областям за 9 місяців.
Я так розумію, що у Волинській, Київській, Миколаївській, Тернопільській та Чернівецькій областях з дорогами все супер, тому вони використали лише половину грошей?
121608991_779756209425115_4284899210503677698_o.jpg
А в чем сила, брат?
- В правде..
- Нет, в телевизоре. Он может заставить миллионы людей поверить в то, чего нет
- В правде..
- Нет, в телевизоре. Он может заставить миллионы людей поверить в то, чего нет
- Master
- Легенда Форуму
- Повідомлень: 37096
- З нами з: 25 листопада 2012, 13:03
- Звідки: Город Герой Черновцы
- Дякував (ла): 2817 разів
- Подякували: 2877 разів
Re: Транспортный коллапс в Черновцах
и это из года в год такая картинка.
я это уже не первый раз вижу.
потом наши деньги отдают в те области где дороги таки делают.
(винницкая и т.д.)
Все, что вы видите во мне - это не мое, это ваше.
Мое - это то, что я вижу в вас. ©
Мое - это то, что я вижу в вас. ©
-
OlegLOA
- Доцент
- Повідомлень: 8158
- З нами з: 25 листопада 2012, 19:04
- Звідки: г. Черновцы
- Дякував (ла): 1076 разів
- Подякували: 1016 разів
Re: Транспортный коллапс в Черновцах
Так у нас в области и "за городом" дороги не идеальны...
Сервіс-центр "ЕКСПЕРТ" - РЕМОНТ аудіо/відео техніки,комп'ютерів,моніторів та іншої електроніки
м.Чернівці, вул.Комарова,9АА(вхід з вул.Івасюка,100м від Комарова) тел.(МТС)0506027068, (КС)0975931050
https://goo.gl/mvzvhy
м.Чернівці, вул.Комарова,9АА(вхід з вул.Івасюка,100м від Комарова) тел.(МТС)0506027068, (КС)0975931050
https://goo.gl/mvzvhy
- Master
- Легенда Форуму
- Повідомлень: 37096
- З нами з: 25 листопада 2012, 13:03
- Звідки: Город Герой Черновцы
- Дякував (ла): 2817 разів
- Подякували: 2877 разів
Re: Транспортный коллапс в Черновцах
Все, что вы видите во мне - это не мое, это ваше.
Мое - это то, что я вижу в вас. ©
Мое - это то, что я вижу в вас. ©
- Master
- Легенда Форуму
- Повідомлень: 37096
- З нами з: 25 листопада 2012, 13:03
- Звідки: Город Герой Черновцы
- Дякував (ла): 2817 разів
- Подякували: 2877 разів
Re: Транспортный коллапс в Черновцах
Все, что вы видите во мне - это не мое, это ваше.
Мое - это то, что я вижу в вас. ©
Мое - это то, что я вижу в вас. ©
- Дерзкий
- Доцент
- Повідомлень: 9805
- З нами з: 25 листопада 2012, 12:18
- Дякував (ла): 491 раз
- Подякували: 722 рази
Re: Транспортный коллапс в Черновцах
У місті знов транспортний колапс. Весь центр стоїть. 
Человеческие споры бесконечны не потому, что не возможно найти истину - а потому, что спорящие ищут не истину, а самоутверждение.
Не спрашивайте, что ваша страна может сделать для вас, спрашивай, что вы можете сделать для своей страны. (с) Джон Кеннеди
Не спрашивайте, что ваша страна может сделать для вас, спрашивай, что вы можете сделать для своей страны. (с) Джон Кеннеди
- Yura_82
- Активіст
- Повідомлень: 295
- З нами з: 07 грудня 2012, 14:34
- Звідки: Черновцы
- Дякував (ла): 12 разів
- Подякували: 59 разів
- Контактна інформація:
Re: Транспортный коллапс в Черновцах
Сегодня проезжал центр в 8-30, вообще свободно. Видать потому, что закрыли школы.
Разборка Skoda Octavia. Корректировка одометров (пробег), диагностика, чип-тюнинг, привязка ключей, стирание данных об ударе (crash data) в блоках airbag.
О5ОЧЗЧ1863
О5ОЧЗЧ1863